Logistic regression is used for classification when the target is binary (e.g., 0/1). Instead of predicting a continuous value like linear regression, it models the probability that an observation belongs to the positive class.
Imagine you want to predict whether a loan is rejected or approved based on an applicant’s attributes. We can encode the outcome as \(y \in \{0, 1\}\), where \(y=0\) means “rejected” and \(y=1\) means “approved”.
A logistic regression differs from linear regression in two key ways:
The sigmoid returns a probability. To obtain a class label, a common approach is to set a decision threshold (e.g., 0.5): values above the threshold are classified as 1, and values below as 0.
We will use the Adult dataset to illustrate logistic regression. The goal is to predict whether an individual’s annual income exceeds 50,000 USD.
library(dplyr)
library(readr)
data_adult <- read_csv(
"raw_data/adult.csv",
name_repair = "universal",
show_col_types = FALSE
) |>
# Make the import robust to possible "X"/"x" index columns
select(-any_of(c("X", "x"))) |>
mutate(across(where(is.character), as.factor))
glimpse(data_adult)## Rows: 48,842
## Columns: 9
## $ age <dbl> 25, 38, 28, 44, 18, 34, 29, 63, 24, 55, 65, 36, 26, 58…
## $ workclass <fct> Private, Private, Local-gov, Private, ?, Private, ?, S…
## $ education <fct> 11th, HS-grad, Assoc-acdm, Some-college, Some-college,…
## $ educational.num <dbl> 7, 9, 12, 10, 10, 6, 9, 15, 10, 4, 9, 13, 9, 9, 9, 14,…
## $ marital.status <fct> Never-married, Married-civ-spouse, Married-civ-spouse,…
## $ race <fct> Black, White, White, Black, White, White, Black, White…
## $ gender <fct> Male, Male, Male, Male, Female, Male, Male, Male, Fema…
## $ hours.per.week <dbl> 40, 50, 40, 40, 30, 30, 40, 32, 40, 10, 40, 40, 39, 35…
## $ income <fct> <=50K, <=50K, >50K, >50K, <=50K, <=50K, <=50K, >50K, <…
We will proceed as follows:
Your task is to predict which individuals will have an income above 50K.
## age educational.num hours.per.week
## Min. :17.00 Min. : 1.00 Min. : 1.00
## 1st Qu.:28.00 1st Qu.: 9.00 1st Qu.:40.00
## Median :37.00 Median :10.00 Median :40.00
## Mean :38.64 Mean :10.08 Mean :40.42
## 3rd Qu.:48.00 3rd Qu.:12.00 3rd Qu.:45.00
## Max. :90.00 Max. :16.00 Max. :99.00
From the summary, some variables are on very different scales, and
hours.per.week can contain high values (potential
outliers).
library(ggplot2)
ggplot(data_adult, aes(x = hours.per.week)) +
geom_histogram(bins = 40, fill = "#4AA4DE", color = "white", alpha = 0.85) +
labs(x = "Hours per week", y = "Count") +
theme_classic()
A simple way to reduce the influence of extreme values is to remove
the top 1% of hours.per.week (99th percentile).
## 99%
## 80
## [1] 48314 9
Now standardize numeric variables (z-scores).
Note: this lesson standardizes before splitting for simplicity; in
production, scaling parameters should be learned on the training set and
applied to the test set.
data_adult_rescale <- data_adult_drop |>
mutate(across(where(is.numeric), ~ as.numeric(scale(.x))))
glimpse(data_adult_rescale)## Rows: 48,314
## Columns: 9
## $ age <dbl> -0.99161306, -0.04464061, -0.77308096, 0.39242361, -1.…
## $ workclass <fct> Private, Private, Local-gov, Private, ?, Private, ?, S…
## $ education <fct> 11th, HS-grad, Assoc-acdm, Some-college, Some-college,…
## $ educational.num <dbl> -1.19830033, -0.41917209, 0.74952027, -0.02960797, -0.…
## $ marital.status <fct> Never-married, Married-civ-spouse, Married-civ-spouse,…
## $ race <fct> Black, White, White, Black, White, White, Black, White…
## $ gender <fct> Male, Male, Male, Male, Female, Male, Male, Male, Fema…
## $ hours.per.week <dbl> 0.008216002, 0.885642886, 0.008216002, 0.008216002, -0…
## $ income <fct> <=50K, <=50K, >50K, >50K, <=50K, <=50K, <=50K, >50K, <…
This step has two objectives:
## [1] 6
Instead of generating one plot per variable with
lapply(), a tidy approach is to reshape to long format and
facet the bar charts.
library(tidyr)
factor_long <- factor_df |>
pivot_longer(cols = everything(), names_to = "variable", values_to = "level")
ggplot(factor_long, aes(x = level)) +
geom_bar(fill = "#1F65CC", alpha = 0.9) +
facet_wrap(~ variable, scales = "free_x") +
theme_classic() +
theme(
axis.text.x = element_text(angle = 90, vjust = 0.5, hjust = 1),
strip.text = element_text(face = "bold")
) +
labs(x = NULL, y = "Count")
The education variable often has many levels. A common
approach is to group them into fewer, more interpretable categories.
recast_data <- data_adult_rescale |>
mutate(
education = case_when(
education %in% c("Preschool", "1st-4th", "5th-6th", "7th-8th", "9th",
"10th", "11th", "12th") ~ "Dropout",
education == "HS-grad" ~ "HighGrad",
education %in% c("Some-college", "Assoc-acdm", "Assoc-voc") ~ "Community",
education == "Bachelors" ~ "Bachelors",
education %in% c("Masters", "Prof-school") ~ "Master",
education == "Doctorate" ~ "PhD",
TRUE ~ as.character(education)
) |>
factor(levels = c("Dropout", "HighGrad", "Community", "Bachelors", "Master", "PhD"))
)Check how educational.num relates to the recoded
groups:
recast_data |>
dplyr::group_by(education) |>
dplyr::summarize(
average_educ_year = mean(educational.num, na.rm = TRUE),
count = n(),
.groups = "drop"
) |>
dplyr::arrange(average_educ_year)| education | average_educ_year | count |
|---|---|---|
| Dropout | -1.7365624 | 6340 |
| HighGrad | -0.4191721 | 15608 |
| Community | 0.1111341 | 14396 |
| Bachelors | 1.1390844 | 7968 |
| Master | 1.6192475 | 3427 |
| PhD | 2.3077767 | 575 |
recast_data <- recast_data |>
mutate(
marital.status = case_when(
marital.status %in% c("Never-married", "Married-spouse-absent") ~ "Not_married",
marital.status %in% c("Married-AF-spouse", "Married-civ-spouse") ~ "Married",
marital.status %in% c("Separated", "Divorced") ~ "Separated",
marital.status == "Widowed" ~ "Widowed",
TRUE ~ as.character(marital.status)
) |>
factor()
)
table(recast_data$marital.status)##
## Married Not_married Separated Widowed
## 22085 16638 8084 1507
ggplot(recast_data, aes(x = gender, fill = income)) +
geom_bar(position = "fill") +
theme_classic() +
labs(y = "Proportion")
ggplot(recast_data, aes(x = race, fill = income)) +
geom_bar(position = "fill") +
theme_classic() +
theme(axis.text.x = element_text(angle = 90, vjust = 0.5, hjust = 1)) +
labs(y = "Proportion")
ggplot(recast_data, aes(x = gender, y = hours.per.week)) +
geom_boxplot() +
stat_summary(fun = mean, geom = "point", size = 3, color = "steelblue") +
theme_classic()
ggplot(recast_data, aes(x = hours.per.week, color = education)) +
geom_density(alpha = 0.25) +
theme_classic()
A quick one-way ANOVA can test differences in average working hours across education groups:
## Df Sum Sq Mean Sq F value Pr(>F)
## education 5 1637 327.5 338.9 <2e-16 ***
## Residuals 48308 46676 1.0
## ---
## Signif. codes: 0 '***' 0.001 '**' 0.01 '*' 0.05 '.' 0.1 ' ' 1
ggplot(recast_data, aes(x = age, y = hours.per.week, color = income)) +
geom_point(size = 0.5, alpha = 0.6) +
geom_smooth(method = "lm", formula = y ~ poly(x, 2), se = TRUE) +
theme_classic()
This converts factors to integer codes to compute a Spearman correlation matrix. Treat this as exploratory only.
library(GGally)
corr_df <- recast_data |>
mutate(across(where(is.factor), ~ as.integer(.x)))
ggcorr(
corr_df,
method = c("pairwise", "spearman"),
nbreaks = 6,
hjust = 0.8,
label = TRUE,
label_size = 3,
color = "grey50"
)
A supervised learning task requires splitting into train and test sets. Here we do a random split (80/20).
set.seed(1234)
n <- nrow(recast_data)
idx_train <- sample.int(n, size = floor(0.8 * n))
data_train <- recast_data[idx_train, ]
data_test <- recast_data[-idx_train, ]
dim(data_train)## [1] 38651 9
## [1] 9663 9
##
## Call:
## glm(formula = income ~ ., family = binomial(link = "logit"),
## data = data_train)
##
## Coefficients:
## Estimate Std. Error z value Pr(>|z|)
## (Intercept) -2.273e+00 2.400e-01 -9.470 < 2e-16 ***
## age 4.259e-01 1.888e-02 22.558 < 2e-16 ***
## workclassFederal-gov 1.321e+00 1.182e-01 11.174 < 2e-16 ***
## workclassLocal-gov 6.912e-01 1.049e-01 6.587 4.48e-11 ***
## workclassNever-worked -5.485e+00 7.233e+01 -0.076 0.939554
## workclassPrivate 8.009e-01 9.182e-02 8.722 < 2e-16 ***
## workclassSelf-emp-inc 1.237e+00 1.135e-01 10.900 < 2e-16 ***
## workclassSelf-emp-not-inc 2.447e-01 1.021e-01 2.397 0.016508 *
## workclassState-gov 4.950e-01 1.160e-01 4.266 1.99e-05 ***
## workclassWithout-pay -1.192e+00 1.094e+00 -1.090 0.275666
## educationHighGrad 3.981e-01 1.133e-01 3.514 0.000442 ***
## educationCommunity 6.799e-01 1.456e-01 4.669 3.03e-06 ***
## educationBachelors 1.070e+00 2.099e-01 5.097 3.45e-07 ***
## educationMaster 1.435e+00 2.445e-01 5.871 4.32e-09 ***
## educationPhD 1.482e+00 3.127e-01 4.740 2.13e-06 ***
## educational.num 5.684e-01 6.947e-02 8.182 2.79e-16 ***
## marital.statusNot_married -2.565e+00 5.138e-02 -49.910 < 2e-16 ***
## marital.statusSeparated -2.148e+00 5.350e-02 -40.157 < 2e-16 ***
## marital.statusWidowed -2.278e+00 1.209e-01 -18.850 < 2e-16 ***
## raceAsian-Pac-Islander 2.912e-02 1.938e-01 0.150 0.880573
## raceBlack 2.779e-02 1.836e-01 0.151 0.879683
## raceOther -2.603e-05 2.675e-01 0.000 0.999922
## raceWhite 2.790e-01 1.744e-01 1.600 0.109697
## genderMale 6.100e-02 4.249e-02 1.436 0.151131
## hours.per.week 4.422e-01 1.749e-02 25.275 < 2e-16 ***
## ---
## Signif. codes: 0 '***' 0.001 '**' 0.01 '*' 0.05 '.' 0.1 ' ' 1
##
## (Dispersion parameter for binomial family taken to be 1)
##
## Null deviance: 42409 on 38650 degrees of freedom
## Residual deviance: 27886 on 38626 degrees of freedom
## AIC: 27936
##
## Number of Fisher Scoring iterations: 10
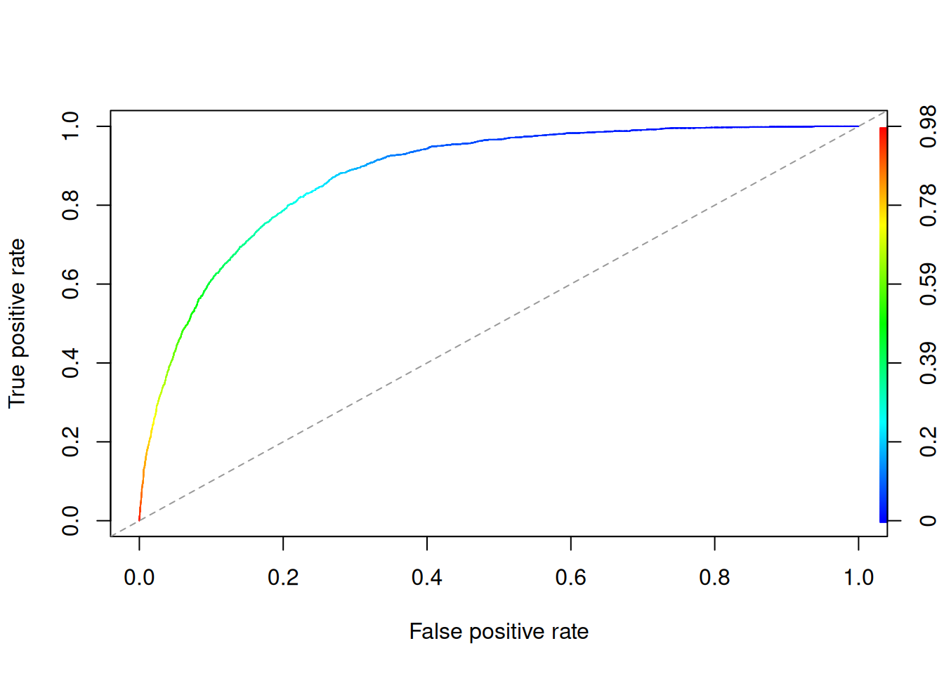
You can access metrics directly from the fitted model. For example:
## [1] 27935.81
prob <- predict(logit, newdata = data_test, type = "response")
# Make predictions as factor with same levels as the truth
pred_class <- ifelse(prob > 0.5, ">50K", "<=50K") |>
factor(levels = levels(data_test$income))
cm <- table(truth = data_test$income, estimate = pred_class)
cm## estimate
## truth <=50K >50K
## <=50K 6825 528
## >50K 1107 1203
metrics_from_cm <- function(cm, positive = ">50K", negative = "<=50K") {
tp <- cm[positive, positive]
tn <- cm[negative, negative]
fp <- cm[negative, positive]
fn <- cm[positive, negative]
accuracy <- (tp + tn) / sum(cm)
precision <- tp / (tp + fp)
recall <- tp / (tp + fn)
f1 <- 2 * (precision * recall) / (precision + recall)
c(accuracy = accuracy, precision = precision, recall = recall, f1 = f1)
}
metrics_from_cm(cm)## accuracy precision recall f1
## 0.8307979 0.6949740 0.5207792 0.5953972
A simple improvement is to add interaction terms (e.g.,
age:hours.per.week and gender:hours.per.week)
and compare models with a likelihood ratio test.
logit_2 <- glm(
income ~ . + age:hours.per.week + gender:hours.per.week,
data = data_train,
family = binomial(link = "logit")
)
anova(logit, logit_2, test = "Chisq")| Resid. Df | Resid. Dev | Df | Deviance | Pr(>Chi) |
|---|---|---|---|---|
| 38626 | 27885.81 | NA | NA | NA |
| 38624 | 27871.27 | 2 | 14.53429 | 0.0006981 |
Now compare performance on the test set:
prob_2 <- predict(logit_2, newdata = data_test, type = "response")
pred_class_2 <- ifelse(prob_2 > 0.5, ">50K", "<=50K") |>
factor(levels = levels(data_test$income))
cm_2 <- table(truth = data_test$income, estimate = pred_class_2)
cm_2## estimate
## truth <=50K >50K
## <=50K 6821 532
## >50K 1098 1212
## accuracy precision recall f1
## 0.8313153 0.6949541 0.5246753 0.5979280
glm(..., family = binomial(link = "logit")).A work by Gianluca Sottile
gianluca.sottile@unipa.it