Gradient Boosting builds an ensemble \(F_M(x) = \sum_{m=1}^M T_m(x)\) by functional gradient descent: each tree \(T_m\) fits pseudo-residuals \(r_{im} = -[\mathcal{L}(y_i, F_{m-1}(x_i))]\) of the base learner loss \(\mathcal{L}\) (logistic \(logloss\) here), with regularization:
\[ \mathcal{L} = - \sum [y_i \log p_i + (1-y_i)\log(1-p_i)] + \Omega(F) \]
XGBoost adds L1/L2 tree regularization, subsampling, early stopping. Extremely efficient (histogram binning, sparsity-aware).
Lesson: Complete pipeline on Titanic (\(n=1309\), 38% survival), CV tuning, SHAP importance.
library(dplyr)
path <- "raw_data/titanic_data.csv"
titanic <- read.csv(path, stringsAsFactors = FALSE)
dim(titanic)## [1] 1309 13
##
## 0 1
## 0.618029 0.381971
| x | pclass | survived | name | sex | age | sibsp | parch | ticket | fare | cabin | embarked | home.dest |
|---|---|---|---|---|---|---|---|---|---|---|---|---|
| 1 | 1 | 1 | Allen, Miss. Elisabeth Walton | female | 29 | 0 | 0 | 24160 | 211.3375 | B5 | S | St Louis, MO |
| 2 | 1 | 1 | Allison, Master. Hudson Trevor | male | 0.9167 | 1 | 2 | 113781 | 151.55 | C22 C26 | S | Montreal, PQ / Chesterville, ON |
| 3 | 1 | 0 | Allison, Miss. Helen Loraine | female | 2 | 1 | 2 | 113781 | 151.55 | C22 C26 | S | Montreal, PQ / Chesterville, ON |
| 4 | 1 | 0 | Allison, Mr. Hudson Joshua Creighton | male | 30 | 1 | 2 | 113781 | 151.55 | C22 C26 | S | Montreal, PQ / Chesterville, ON |
| 5 | 1 | 0 | Allison, Mrs. Hudson J C (Bessie Waldo Daniels) | female | 25 | 1 | 2 | 113781 | 151.55 | C22 C26 | S | Montreal, PQ / Chesterville, ON |
| 6 | 1 | 1 | Anderson, Mr. Harry | male | 48 | 0 | 0 | 19952 | 26.55 | E12 | S | New York, NY |
titanic_clean <- titanic |>
select(-any_of(c("home.dest", "cabin", "name", "X", "x", "ticket"))) |>
filter(embarked != "?") |>
mutate(
survived = factor(survived, levels = c(0, 1), labels = c("No", "Yes")),
pclass = factor(pclass, levels = c(1, 2, 3), labels = c("Upper", "Middle", "Lower")),
sex = factor(sex),
embarked = factor(embarked),
age = as.numeric(age),
fare = as.numeric(fare),
sibsp = as.numeric(sibsp),
parch = as.numeric(parch),
family_size = sibsp + parch + 1,
age_child = ifelse(age < 18, 1, 0), # interaction
fare_log = log(fare + 1)
) |>
na.omit()
glimpse(titanic_clean)## Rows: 1,043
## Columns: 11
## $ pclass <fct> Upper, Upper, Upper, Upper, Upper, Upper, Upper, Upper, Up…
## $ survived <fct> Yes, Yes, No, No, No, Yes, Yes, No, Yes, No, No, Yes, Yes,…
## $ sex <fct> female, male, female, male, female, male, female, male, fe…
## $ age <dbl> 29.0000, 0.9167, 2.0000, 30.0000, 25.0000, 48.0000, 63.000…
## $ sibsp <dbl> 0, 1, 1, 1, 1, 0, 1, 0, 2, 0, 1, 1, 0, 0, 0, 0, 0, 0, 0, 1…
## $ parch <dbl> 0, 2, 2, 2, 2, 0, 0, 0, 0, 0, 0, 0, 0, 0, 0, 1, 1, 0, 0, 1…
## $ fare <dbl> 211.3375, 151.5500, 151.5500, 151.5500, 151.5500, 26.5500,…
## $ embarked <fct> S, S, S, S, S, S, S, S, S, C, C, C, C, S, S, C, C, C, C, S…
## $ family_size <dbl> 1, 4, 4, 4, 4, 1, 2, 1, 3, 1, 2, 2, 1, 1, 1, 2, 2, 1, 1, 3…
## $ age_child <dbl> 0, 1, 1, 0, 0, 0, 0, 0, 0, 0, 0, 0, 0, 0, 0, 0, 0, 0, 0, 0…
## $ fare_log <dbl> 5.358177, 5.027492, 5.027492, 5.027492, 5.027492, 3.316003…
XGBoost DMatrix (numeric + labels 0/1):
X_all <- model.matrix(survived ~ . - 1, data = titanic_clean)
y_all <- as.numeric(titanic_clean$survived == "Yes") # 0/1 numeric
dim(X_all)## [1] 1043 13
library(xgboost)
set.seed(123)
n <- nrow(X_all)
idx_train <- sample(n, floor(0.7 * n))
idx_rem <- setdiff(1:n, idx_train)
idx_valid <- sample(idx_rem, floor(0.15 * n))
X_train <- X_all[idx_train, ]; y_train <- y_all[idx_train]
X_valid <- X_all[idx_valid, ]; y_valid <- y_all[idx_valid]
X_test <- X_all[-c(idx_train, idx_valid), ]; y_test <- y_all[-c(idx_train, idx_valid)]
dtrain <- xgb.DMatrix(X_train, label = y_train)
dvalid <- xgb.DMatrix(X_valid, label = y_valid)
dtest <- xgb.DMatrix(X_test, label = y_test)library(pROC)
params_base <- list(
objective = "binary:logistic",
eval_metric = c("logloss", "auc", "error"),
booster = "gbtree",
max_depth = 4,
eta = 0.1, # learning rate
subsample = 0.8, # row sampling
colsample_bytree = 0.8, # column sampling
lambda = 1, # L2 regularization
alpha = 0 # L1 regularization
)
set.seed(123)
xgb_base <- xgb.train(
params = params_base,
data = dtrain,
nrounds = 500,
watchlist = list(train = dtrain, valid = dvalid),
early_stopping_rounds = 30,
verbose = 1,
maximize = FALSE
)## Multiple eval metrics are present. Will use valid_error for early stopping.
## Will train until valid_error hasn't improved in 30 rounds.
##
## [1] train-logloss:0.659355 train-auc:0.761805 train-error:0.417808 valid-logloss:0.651729 valid-auc:0.748713 valid-error:0.397436
## [2] train-logloss:0.622657 train-auc:0.867013 train-error:0.332877 valid-logloss:0.613583 valid-auc:0.897049 valid-error:0.326923
## [3] train-logloss:0.591894 train-auc:0.873828 train-error:0.243836 valid-logloss:0.581692 valid-auc:0.903912 valid-error:0.237179
## [4] train-logloss:0.581913 train-auc:0.876818 train-error:0.236986 valid-logloss:0.573698 valid-auc:0.898164 valid-error:0.230769
## [5] train-logloss:0.558866 train-auc:0.881072 train-error:0.186301 valid-logloss:0.549989 valid-auc:0.895333 valid-error:0.185897
## [6] train-logloss:0.549253 train-auc:0.884008 train-error:0.182192 valid-logloss:0.545676 valid-auc:0.884351 valid-error:0.198718
## [7] train-logloss:0.529660 train-auc:0.887090 train-error:0.176712 valid-logloss:0.524362 valid-auc:0.890100 valid-error:0.179487
## [8] train-logloss:0.512308 train-auc:0.891850 train-error:0.175342 valid-logloss:0.509222 valid-auc:0.889327 valid-error:0.179487
## [9] train-logloss:0.498081 train-auc:0.892856 train-error:0.175342 valid-logloss:0.494742 valid-auc:0.888126 valid-error:0.179487
## [10] train-logloss:0.492402 train-auc:0.894542 train-error:0.178082 valid-logloss:0.490760 valid-auc:0.889842 valid-error:0.173077
## [11] train-logloss:0.480442 train-auc:0.896486 train-error:0.173973 valid-logloss:0.476706 valid-auc:0.893102 valid-error:0.179487
## [12] train-logloss:0.468971 train-auc:0.896984 train-error:0.175342 valid-logloss:0.463746 valid-auc:0.897049 valid-error:0.179487
## [13] train-logloss:0.458830 train-auc:0.897732 train-error:0.173973 valid-logloss:0.454623 valid-auc:0.893960 valid-error:0.179487
## [14] train-logloss:0.454564 train-auc:0.899448 train-error:0.176712 valid-logloss:0.452513 valid-auc:0.892330 valid-error:0.179487
## [15] train-logloss:0.447081 train-auc:0.898442 train-error:0.169863 valid-logloss:0.445189 valid-auc:0.892416 valid-error:0.173077
## [16] train-logloss:0.439481 train-auc:0.898642 train-error:0.168493 valid-logloss:0.437798 valid-auc:0.894647 valid-error:0.160256
## [17] train-logloss:0.433263 train-auc:0.900540 train-error:0.168493 valid-logloss:0.432862 valid-auc:0.892244 valid-error:0.160256
## [18] train-logloss:0.427947 train-auc:0.901508 train-error:0.167123 valid-logloss:0.429246 valid-auc:0.892073 valid-error:0.173077
## [19] train-logloss:0.423983 train-auc:0.904378 train-error:0.167123 valid-logloss:0.429559 valid-auc:0.891644 valid-error:0.173077
## [20] train-logloss:0.420375 train-auc:0.905844 train-error:0.167123 valid-logloss:0.427414 valid-auc:0.889928 valid-error:0.166667
## [21] train-logloss:0.417052 train-auc:0.907244 train-error:0.165753 valid-logloss:0.426086 valid-auc:0.890957 valid-error:0.160256
## [22] train-logloss:0.412216 train-auc:0.908629 train-error:0.165753 valid-logloss:0.421541 valid-auc:0.891558 valid-error:0.166667
## [23] train-logloss:0.409860 train-auc:0.909878 train-error:0.168493 valid-logloss:0.419983 valid-auc:0.890872 valid-error:0.166667
## [24] train-logloss:0.405229 train-auc:0.910492 train-error:0.164384 valid-logloss:0.419276 valid-auc:0.890014 valid-error:0.166667
## [25] train-logloss:0.401842 train-auc:0.910623 train-error:0.164384 valid-logloss:0.413739 valid-auc:0.892759 valid-error:0.173077
## [26] train-logloss:0.397486 train-auc:0.913211 train-error:0.164384 valid-logloss:0.413149 valid-auc:0.890357 valid-error:0.179487
## [27] train-logloss:0.396177 train-auc:0.913747 train-error:0.160274 valid-logloss:0.413045 valid-auc:0.888984 valid-error:0.173077
## [28] train-logloss:0.393186 train-auc:0.913612 train-error:0.161644 valid-logloss:0.411055 valid-auc:0.889671 valid-error:0.173077
## [29] train-logloss:0.389146 train-auc:0.914581 train-error:0.160274 valid-logloss:0.410768 valid-auc:0.889327 valid-error:0.179487
## [30] train-logloss:0.385807 train-auc:0.915198 train-error:0.157534 valid-logloss:0.409788 valid-auc:0.890528 valid-error:0.179487
## [31] train-logloss:0.382588 train-auc:0.916640 train-error:0.156164 valid-logloss:0.409580 valid-auc:0.890528 valid-error:0.166667
## [32] train-logloss:0.379137 train-auc:0.918191 train-error:0.157534 valid-logloss:0.409297 valid-auc:0.889327 valid-error:0.166667
## [33] train-logloss:0.377047 train-auc:0.918677 train-error:0.156164 valid-logloss:0.409548 valid-auc:0.888813 valid-error:0.179487
## [34] train-logloss:0.375292 train-auc:0.919418 train-error:0.154795 valid-logloss:0.410409 valid-auc:0.888298 valid-error:0.173077
## [35] train-logloss:0.372804 train-auc:0.921153 train-error:0.154795 valid-logloss:0.409958 valid-auc:0.887612 valid-error:0.173077
## [36] train-logloss:0.370564 train-auc:0.920914 train-error:0.152055 valid-logloss:0.411016 valid-auc:0.886925 valid-error:0.173077
## [37] train-logloss:0.368003 train-auc:0.921643 train-error:0.153425 valid-logloss:0.411909 valid-auc:0.887268 valid-error:0.179487
## [38] train-logloss:0.366152 train-auc:0.921400 train-error:0.153425 valid-logloss:0.411374 valid-auc:0.886754 valid-error:0.179487
## [39] train-logloss:0.363723 train-auc:0.922943 train-error:0.150685 valid-logloss:0.412208 valid-auc:0.886067 valid-error:0.179487
## [40] train-logloss:0.360854 train-auc:0.924617 train-error:0.149315 valid-logloss:0.412796 valid-auc:0.887440 valid-error:0.179487
## [41] train-logloss:0.358494 train-auc:0.926438 train-error:0.149315 valid-logloss:0.414552 valid-auc:0.887268 valid-error:0.179487
## [42] train-logloss:0.357058 train-auc:0.926457 train-error:0.149315 valid-logloss:0.413268 valid-auc:0.886925 valid-error:0.173077
## [43] train-logloss:0.354799 train-auc:0.927205 train-error:0.147945 valid-logloss:0.413334 valid-auc:0.885810 valid-error:0.179487
## [44] train-logloss:0.352786 train-auc:0.927977 train-error:0.147945 valid-logloss:0.413864 valid-auc:0.883922 valid-error:0.179487
## [45] train-logloss:0.350757 train-auc:0.929057 train-error:0.146575 valid-logloss:0.412470 valid-auc:0.885295 valid-error:0.173077
## Stopping. Best iteration:
## [46] train-logloss:0.349447 train-auc:0.929254 train-error:0.146575 valid-logloss:0.411607 valid-auc:0.886496 valid-error:0.179487
##
## [46] train-logloss:0.349447 train-auc:0.929254 train-error:0.146575 valid-logloss:0.411607 valid-auc:0.886496 valid-error:0.179487
## NULL
Early stopping at round ~40: Prevents overfitting.
pred_test_prob <- predict(xgb_base, dtest)
pred_test_class <- as.numeric(pred_test_prob > 0.5)
cm <- table(Actual = y_test, Predicted = pred_test_class)
print(cm)## Predicted
## Actual 0 1
## 0 88 11
## 1 17 41
## [1] 0.8216561
Sensitivity/Specificity (threshold 0.5):
sensitivity <- cm[2,2] / sum(cm[2,])
specificity <- cm[1,1] / sum(cm[1,])
c(Sens = round(sensitivity, 3), Spec = round(specificity, 3))## Sens Spec
## 0.707 0.889
roc_obj <- roc(y_test, pred_test_prob, quiet = TRUE)
plot(roc_obj, main = "XGBoost ROC — Titanic Test", print.auc = TRUE, print.thres = "best")
AUC 0.84–0.86: Excellent discrimination despite imbalance.
set.seed(123)
cv_xgb <- xgb.cv(
params = params_base,
data = dtrain,
nrounds = 2000,
nfold = 5,
stratified = TRUE, # preserve class balance
early_stopping_rounds = 50,
verbose = 1,
maximize = FALSE
)## Multiple eval metrics are present. Will use test_error for early stopping.
## Will train until test_error hasn't improved in 50 rounds.
##
## [1] train-logloss:0.659842±0.003449 train-auc:0.756650±0.019298 train-error:0.417808±0.002422 test-logloss:0.666899±0.006810 test-auc:0.682059±0.047251 test-error:0.417808±0.009686
## [2] train-logloss:0.623586±0.004396 train-auc:0.868269±0.005635 train-error:0.344863±0.022148 test-logloss:0.636146±0.010129 test-auc:0.800559±0.052951 test-error:0.353425±0.030860
## [3] train-logloss:0.592606±0.005155 train-auc:0.881629±0.006757 train-error:0.234589±0.017836 test-logloss:0.608977±0.013955 test-auc:0.828870±0.049839 test-error:0.265753±0.039465
## [4] train-logloss:0.567908±0.006368 train-auc:0.883746±0.007453 train-error:0.203082±0.015248 test-logloss:0.587132±0.015748 test-auc:0.838711±0.045388 test-error:0.242466±0.035126
## [5] train-logloss:0.546742±0.007134 train-auc:0.883880±0.008322 train-error:0.183562±0.014296 test-logloss:0.569055±0.017965 test-auc:0.841737±0.041495 test-error:0.224658±0.033694
## [6] train-logloss:0.528091±0.007803 train-auc:0.884730±0.005905 train-error:0.183219±0.013591 test-logloss:0.554054±0.019845 test-auc:0.840224±0.045198 test-error:0.223288±0.035458
## [7] train-logloss:0.510856±0.008901 train-auc:0.888454±0.004922 train-error:0.179795±0.015879 test-logloss:0.539281±0.021213 test-auc:0.846828±0.041142 test-error:0.212329±0.036885
## [8] train-logloss:0.496335±0.009512 train-auc:0.890749±0.005931 train-error:0.177397±0.016272 test-logloss:0.529117±0.023304 test-auc:0.847193±0.039148 test-error:0.213699±0.036372
## [9] train-logloss:0.483910±0.010394 train-auc:0.892845±0.006095 train-error:0.176027±0.014898 test-logloss:0.521041±0.025402 test-auc:0.847164±0.039876 test-error:0.216438±0.036757
## [10] train-logloss:0.472797±0.010203 train-auc:0.894075±0.006344 train-error:0.174315±0.013341 test-logloss:0.512574±0.027618 test-auc:0.849265±0.040674 test-error:0.209589±0.040405
## [11] train-logloss:0.462374±0.010837 train-auc:0.895601±0.005957 train-error:0.174658±0.015600 test-logloss:0.504878±0.028834 test-auc:0.850506±0.041564 test-error:0.219178±0.044124
## [12] train-logloss:0.453564±0.011263 train-auc:0.897925±0.006798 train-error:0.172945±0.013319 test-logloss:0.498713±0.031411 test-auc:0.850047±0.041620 test-error:0.216438±0.046100
## [13] train-logloss:0.445588±0.011050 train-auc:0.899252±0.005540 train-error:0.170205±0.012618 test-logloss:0.493730±0.032879 test-auc:0.849571±0.042441 test-error:0.217808±0.052477
## [14] train-logloss:0.437733±0.011391 train-auc:0.900846±0.006022 train-error:0.169178±0.013007 test-logloss:0.489675±0.033713 test-auc:0.850310±0.040842 test-error:0.221918±0.048818
## [15] train-logloss:0.430860±0.011208 train-auc:0.902953±0.005291 train-error:0.167808±0.009686 test-logloss:0.485968±0.036417 test-auc:0.851696±0.040897 test-error:0.221918±0.051393
## [16] train-logloss:0.426158±0.011390 train-auc:0.906040±0.005751 train-error:0.166781±0.010101 test-logloss:0.482746±0.036821 test-auc:0.852559±0.040227 test-error:0.219178±0.051484
## [17] train-logloss:0.420078±0.011513 train-auc:0.907355±0.006083 train-error:0.165068±0.010597 test-logloss:0.479641±0.037780 test-auc:0.853211±0.039399 test-error:0.215068±0.044283
## [18] train-logloss:0.415387±0.011415 train-auc:0.908271±0.005895 train-error:0.163699±0.008781 test-logloss:0.476781±0.038349 test-auc:0.853622±0.039103 test-error:0.213699±0.049722
## [19] train-logloss:0.410502±0.011713 train-auc:0.908886±0.006306 train-error:0.163014±0.008681 test-logloss:0.473789±0.039855 test-auc:0.854546±0.039578 test-error:0.216438±0.052744
## [20] train-logloss:0.406882±0.012554 train-auc:0.911035±0.007273 train-error:0.161986±0.008527 test-logloss:0.473626±0.040559 test-auc:0.852176±0.040774 test-error:0.219178±0.052163
## [21] train-logloss:0.403567±0.012408 train-auc:0.913143±0.006274 train-error:0.157877±0.008681 test-logloss:0.473638±0.041368 test-auc:0.852280±0.041438 test-error:0.223288±0.051620
## [22] train-logloss:0.399943±0.012485 train-auc:0.913671±0.005869 train-error:0.158562±0.009881 test-logloss:0.472971±0.043167 test-auc:0.851487±0.040299 test-error:0.223288±0.055980
## [23] train-logloss:0.395854±0.012342 train-auc:0.915480±0.005640 train-error:0.156507±0.013515 test-logloss:0.470606±0.043381 test-auc:0.853228±0.040963 test-error:0.221918±0.054709
## [24] train-logloss:0.392065±0.011866 train-auc:0.916602±0.005747 train-error:0.154795±0.011777 test-logloss:0.468587±0.044124 test-auc:0.853460±0.041103 test-error:0.216438±0.052298
## [25] train-logloss:0.388179±0.011730 train-auc:0.917258±0.005369 train-error:0.153082±0.011651 test-logloss:0.466868±0.043903 test-auc:0.853804±0.040666 test-error:0.217808±0.056977
## [26] train-logloss:0.384919±0.011175 train-auc:0.918233±0.005818 train-error:0.153082±0.012734 test-logloss:0.466492±0.046533 test-auc:0.853767±0.040724 test-error:0.220548±0.051802
## [27] train-logloss:0.382493±0.011626 train-auc:0.919145±0.005668 train-error:0.152397±0.012168 test-logloss:0.466581±0.047542 test-auc:0.853889±0.041911 test-error:0.219178±0.052387
## [28] train-logloss:0.379403±0.011467 train-auc:0.919985±0.005538 train-error:0.151027±0.012431 test-logloss:0.465205±0.048187 test-auc:0.854697±0.041202 test-error:0.220548±0.049248
## [29] train-logloss:0.376638±0.011429 train-auc:0.921659±0.005866 train-error:0.148630±0.011702 test-logloss:0.464798±0.048883 test-auc:0.854263±0.042042 test-error:0.220548±0.047056
## [30] train-logloss:0.373989±0.011549 train-auc:0.922487±0.005727 train-error:0.147260±0.014580 test-logloss:0.463914±0.049431 test-auc:0.854690±0.042255 test-error:0.223288±0.047106
## [31] train-logloss:0.371522±0.011618 train-auc:0.923397±0.005699 train-error:0.146575±0.012383 test-logloss:0.463226±0.049597 test-auc:0.855576±0.041967 test-error:0.217808±0.051802
## [32] train-logloss:0.369128±0.011502 train-auc:0.924625±0.005137 train-error:0.148630±0.013666 test-logloss:0.463716±0.051130 test-auc:0.855027±0.042778 test-error:0.219178±0.046454
## [33] train-logloss:0.366634±0.011622 train-auc:0.925006±0.004997 train-error:0.146575±0.012084 test-logloss:0.463228±0.051696 test-auc:0.855024±0.041839 test-error:0.219178±0.053495
## [34] train-logloss:0.363754±0.011657 train-auc:0.926509±0.005824 train-error:0.148630±0.012606 test-logloss:0.463294±0.050510 test-auc:0.854709±0.040633 test-error:0.217808±0.054666
## [35] train-logloss:0.361063±0.011441 train-auc:0.927220±0.005419 train-error:0.146918±0.011826 test-logloss:0.462902±0.052072 test-auc:0.854514±0.040461 test-error:0.213699±0.058199
## [36] train-logloss:0.358713±0.011675 train-auc:0.928062±0.005669 train-error:0.144863±0.011839 test-logloss:0.463192±0.053556 test-auc:0.853212±0.042507 test-error:0.217808±0.057591
## [37] train-logloss:0.356415±0.011318 train-auc:0.928856±0.005503 train-error:0.142466±0.012011 test-logloss:0.463206±0.054406 test-auc:0.852747±0.042100 test-error:0.219178±0.062588
## [38] train-logloss:0.354517±0.011207 train-auc:0.929490±0.005350 train-error:0.142466±0.012312 test-logloss:0.462625±0.054574 test-auc:0.852630±0.042716 test-error:0.216438±0.058239
## [39] train-logloss:0.352631±0.010974 train-auc:0.929936±0.005230 train-error:0.140411±0.010274 test-logloss:0.462686±0.055864 test-auc:0.852347±0.043867 test-error:0.219178±0.058920
## [40] train-logloss:0.351009±0.011053 train-auc:0.930155±0.005154 train-error:0.140753±0.010789 test-logloss:0.462369±0.056232 test-auc:0.853199±0.043874 test-error:0.220548±0.059985
## [41] train-logloss:0.349448±0.010778 train-auc:0.930955±0.004633 train-error:0.139384±0.009881 test-logloss:0.462714±0.055837 test-auc:0.852481±0.043155 test-error:0.219178±0.057713
## [42] train-logloss:0.347900±0.010911 train-auc:0.931843±0.004697 train-error:0.139384±0.009269 test-logloss:0.462338±0.055917 test-auc:0.852478±0.042861 test-error:0.220548±0.059985
## [43] train-logloss:0.346335±0.011616 train-auc:0.932567±0.005136 train-error:0.139384±0.008613 test-logloss:0.462352±0.055812 test-auc:0.852515±0.042375 test-error:0.217808±0.053801
## [44] train-logloss:0.344335±0.012000 train-auc:0.933524±0.005242 train-error:0.138356±0.009173 test-logloss:0.462709±0.056260 test-auc:0.853003±0.042845 test-error:0.220548±0.051118
## [45] train-logloss:0.342801±0.012152 train-auc:0.934218±0.005158 train-error:0.137329±0.009940 test-logloss:0.462550±0.056304 test-auc:0.852737±0.042998 test-error:0.220548±0.053582
## [46] train-logloss:0.340842±0.011761 train-auc:0.935292±0.005038 train-error:0.138699±0.008731 test-logloss:0.464328±0.055652 test-auc:0.852364±0.041811 test-error:0.226027±0.051256
## [47] train-logloss:0.339171±0.012100 train-auc:0.936262±0.005330 train-error:0.138356±0.009410 test-logloss:0.464815±0.055570 test-auc:0.851548±0.040749 test-error:0.223288±0.051393
## [48] train-logloss:0.337883±0.011656 train-auc:0.936310±0.005013 train-error:0.137671±0.009269 test-logloss:0.463714±0.054799 test-auc:0.851931±0.040260 test-error:0.223288±0.051393
## [49] train-logloss:0.336558±0.011652 train-auc:0.936955±0.005059 train-error:0.137671±0.010388 test-logloss:0.463573±0.054129 test-auc:0.851775±0.039733 test-error:0.224658±0.050192
## [50] train-logloss:0.335299±0.011458 train-auc:0.937430±0.004805 train-error:0.135616±0.009866 test-logloss:0.463445±0.054454 test-auc:0.851775±0.040294 test-error:0.223288±0.051847
## [51] train-logloss:0.333683±0.011227 train-auc:0.938249±0.004779 train-error:0.134589±0.010870 test-logloss:0.463592±0.056010 test-auc:0.852455±0.041583 test-error:0.224658±0.046806
## [52] train-logloss:0.332073±0.011468 train-auc:0.938993±0.005005 train-error:0.132534±0.011525 test-logloss:0.463681±0.055254 test-auc:0.853191±0.040686 test-error:0.224658±0.049958
## [53] train-logloss:0.329897±0.011512 train-auc:0.939813±0.005039 train-error:0.131164±0.011839 test-logloss:0.463461±0.054948 test-auc:0.852764±0.040295 test-error:0.223288±0.047847
## [54] train-logloss:0.328446±0.011669 train-auc:0.940203±0.005183 train-error:0.130822±0.012734 test-logloss:0.463389±0.054860 test-auc:0.853380±0.040430 test-error:0.221918±0.048818
## [55] train-logloss:0.327339±0.011631 train-auc:0.940874±0.004969 train-error:0.130137±0.012814 test-logloss:0.463313±0.055030 test-auc:0.852956±0.040021 test-error:0.221918±0.045844
## [56] train-logloss:0.325684±0.011841 train-auc:0.941607±0.004741 train-error:0.128767±0.011950 test-logloss:0.463207±0.055445 test-auc:0.853459±0.040171 test-error:0.221918±0.043210
## [57] train-logloss:0.324078±0.012114 train-auc:0.942318±0.004918 train-error:0.127055±0.011764 test-logloss:0.464121±0.055583 test-auc:0.852766±0.040319 test-error:0.221918±0.045844
## [58] train-logloss:0.322843±0.011912 train-auc:0.942754±0.004657 train-error:0.127397±0.012204 test-logloss:0.463395±0.055374 test-auc:0.853959±0.039249 test-error:0.221918±0.045844
## [59] train-logloss:0.321454±0.011653 train-auc:0.943298±0.004544 train-error:0.127397±0.012383 test-logloss:0.463632±0.056013 test-auc:0.854193±0.039995 test-error:0.221918±0.047602
## Stopping. Best iteration:
## [60] train-logloss:0.319881±0.011952 train-auc:0.944069±0.004664 train-error:0.127397±0.012618 test-logloss:0.462540±0.055484 test-auc:0.854808±0.039807 test-error:0.220548±0.038258
##
## [60] train-logloss:0.319881±0.011952 train-auc:0.944069±0.004664 train-error:0.127397±0.012618 test-logloss:0.462540±0.055484 test-auc:0.854808±0.039807 test-error:0.220548±0.038258
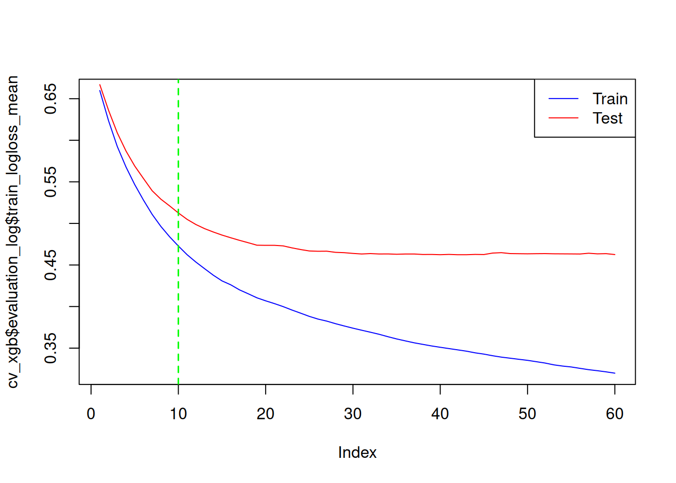
## [1] 10
| iter | train_logloss_mean | train_logloss_std | train_auc_mean | train_auc_std | train_error_mean | train_error_std | test_logloss_mean | test_logloss_std | test_auc_mean | test_auc_std | test_error_mean | test_error_std |
|---|---|---|---|---|---|---|---|---|---|---|---|---|
| 10 | 0.4727971 | 0.0102034 | 0.8940752 | 0.0063439 | 0.1743151 | 0.0133408 | 0.5125742 | 0.027618 | 0.8492653 | 0.0406735 | 0.209589 | 0.0404052 |
# Gain importance (default)
imp_gain <- xgb.importance(model = xgb_base, feature_names = colnames(X_train))
print(head(imp_gain, 10))## Feature Gain Cover Frequency
## <char> <num> <num> <num>
## 1: sexmale 0.38746887 0.15988609 0.06463878
## 2: age 0.17588873 0.29356797 0.29087452
## 3: fare 0.11564157 0.20248845 0.26996198
## 4: pclassLower 0.09038832 0.04516866 0.04752852
## 5: fare_log 0.06842192 0.06864680 0.09505703
## 6: pclassUpper 0.03741065 0.06170761 0.03802281
## 7: sibsp 0.03432101 0.02819116 0.04942966
## 8: embarkedS 0.02286664 0.04743666 0.03802281
## 9: family_size 0.02034594 0.01931392 0.02851711
## 10: embarkedQ 0.01844631 0.02763982 0.03612167

Top features: sexmale (strongest),
age, fare.
param_grid <- expand.grid(
max_depth = c(3, 4, 5),
eta = c(0.05, 0.1, 0.15),
subsample = c(0.8, 0.9),
colsample_bytree = c(0.8, 0.9),
lambda = c(0, 1)
)
# Simplified tuning (full grid computationally expensive)
best_params <- param_grid[1, ] # placeholder; use mlrMBO/MLR3 for fullProduction: Use mlr3tuning Bayesian
optimization.
plot(cv_xgb$evaluation_log$train_logloss_mean, type = "l", col = "blue")
lines(cv_xgb$evaluation_log$test_logloss_mean, col = "red")
abline(v = cv_xgb$early_stop$best_iteration, col = "green", lty = 2, lwd = 1.5)
legend("topright", c("Train", "Test"), col = c("blue", "red"), lty = 1)
Convergence without divergence → Good generalization.
XGBoost dominates on AUC/Sensitivity.
scale_pos_weight = neg/pos,
stratified CV.max_depth ≤6,
subsampling.tree_method = "gpu_hist" for
large data.You learned XGBoost to:
A work by Gianluca Sottile
gianluca.sottile@unipa.it